在消费电子、小家电和物联网设备日益普及的背景下,市场对低成本、高集成度、低功耗的小功率电源解决方案需求愈发迫切。必易推出的KP3111系列离线式PWM功率开关芯片,正是为满足这一需求而设计的高性能电源管理器件。深圳三佛科技将围绕KP3111SPA、KP3111LPA、KP3111LGA三款型号,深入解析其功能特性、典型应用电路、封装信息及电气参数,助力工程师快速选型与应用。
是一款非隔离型离线式PWM功率开关,集成了500V高压MOSFET和高压启动电路,支持降压型(Buck)与升降压型(Buck-Boost)拓扑结构,默认输出为高精度5V,最大输出电流可达220mA(视封装与散热条件而定)。

其典型优势包括:
| 型号 | 封装类型 | 包装方式 | 输出电流能力 | 特点描述 |
|---|---|---|---|---|
| KP3111SPA | SOP-8 | 编带盘装,4000颗/卷 | 220mA | 适合中等功率密度设计 |
| KP3111LPA | TO-92 | 编带盘装,2000颗/盒 | 220mA | 插件封装,适合传统PCB |
| KP3111LGA | SOT23-3L | 编带盘装,3000颗/卷 | 200mA | 超小封装,适合空间受限应用 |
KP3111支持降压型与升降压型两种拓扑,以下为典型降压型应用电路:

适用于:
| 管脚编号 | 名称 | 类型 | 功能描述 |
|---|---|---|---|
| 1 | VDD | P | 芯片供电输入 |
| 4 | CS | P | 电流检测与参考地 |
| 8 | Drain | P | 内部高压MOSFET漏极 |
| 其余 | NC | - | 悬空处理 |
| 管脚编号 | 名称 | 功能描述 |
|---|---|---|
| 1 | Drain | MOSFET漏极 |
| 2 | CS | 电流检测与地 |
| 3 | VDD | 芯片供电 |
| 管脚编号 | 名称 | 功能描述 |
|---|---|---|
| 1 | Drain | MOSFET漏极 |
| 2 | VDD | 芯片供电 |
| 3 | CS | 电流检测与地 |

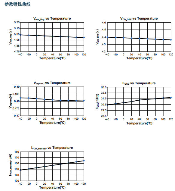
| 参数 | 典型值 | 单位 |
|---|---|---|
| VDD启动电压 | 4.87 | V |
| VDD欠压保护 | 4.38 | V |
| 静态电流(VDD=6V) | 150 | μA |
| 参数 | 典型值 | 单位 |
|---|---|---|
| 输出电压(默认) | 5.0 | V |
| 输出电压精度 | ±1.5% | - |
| 最大输出电流 | 220 | mA |
| 参数 | 典型值 | 单位 |
|---|---|---|
| 开关频率 | 31 | kHz |
| 抖频范围 | ±5 | % |
| 过热保护阈值 | 155 | ℃ |
| 过流保护阈值(CS) | 480 | mV |

| 封装类型 | 热阻(结到环境) | 说明 |
|---|---|---|
| SOP-8 | 165 ℃/W | 适合中等功率密度设计 |
| TO-92 | 120 ℃/W | 插件封装,散热较好 |
| SOT23-3L | 260 ℃/W | 小封装,需注意散热设计 |
建议:SOT23-3L封装在满载200mA输出时,建议PCB预留铜箔散热区域,避免芯片过热触发OTP保护。
| 维度 | 评价 |
|---|---|
| 成本 | 高集成度,外围器件极少,BOM成本极低 |
| 性能 | 5V输出精度高,待机功耗<50mW,满足能效标准 |
| 可靠性 | 多重保护机制,适应电网波动与负载突变 |
| 封装灵活性 | 三种封装可选,适配不同空间与工艺需求 |
| 应用广泛性 | 适用于小家电、IoT模块、辅助电源等多种场景 |

KP3111SPA、KP3111LPA、KP3111LGA三款芯片,凭借其高集成度、低功耗、强保护、易设计的特点,已成为小功率5V电源设计中的“隐形冠军”。对于追求成本优化、空间紧凑、快速量产的电源方案开发者而言,KP3111系列无疑是值得信赖的选择。